学院新闻 当前所在位置: 首页 >> 学院新闻 >> 正文

有望建立适合中国人肺功能预测公式!同济李强、王飞龙团队发表重要研究论文

发布时间:2022-08-24 15:37:53 点击次数:

2022年8月4日,beat365在线唯一官网附属东方医院呼吸科李强、王飞龙等人在呼吸领域顶尖杂志European Respiratory Journal (IF=34) 在线发表题为“Evaluation of the Global Lung Initiative 2012 Reference Values for Spirometry in China: A national cross-sectional study”的研究论文该项研究有望建立适合中国人的肺功能预测公式。

我国正面临着沉重的呼吸系统疾病负担,根据之前王辰院士等人的研究,我国有近一亿人患有慢性阻塞性肺疾病,超过4500万人患有哮喘。肺功能检测是诊断和评估这些呼吸系统疾病疗效的关键方法,也是评估青少年发育的重要手段,其在我国的应用人群数以亿计。

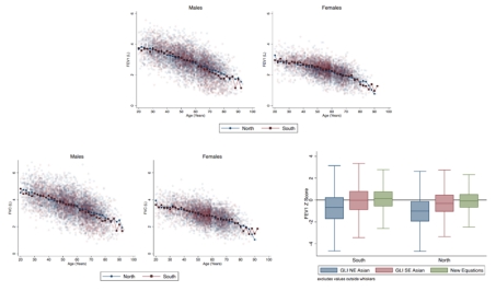
但是,至今我国尚未建立基于本国人群特征的肺功能公式2012年,欧洲呼吸病协会(ERS)推出了多国人群的肺功能预测公式(GLI-2012 equations),之后得到全球所有重要呼吸协会和组织的支持,并在多个国家推广应用。这项研究发现,中国北方人群的肺功能指数(矫正年龄和身高),包括FEV1(第一秒用力呼气容积)和FVC(用力肺活量),均显著高于南方人群(南北方采用秦岭-淮河分界),因此推荐我国南北方人群采用不同的肺功能预测公式,即南方人使用 GLI-2012东南亚公式 (GLI-2012 SE Asia equations),北方人使用GLI-2012 东北亚公式(GLI-2012 NE Asia equations)。但是,这项研究只纳入了较小样本量的中国人肺功能数据,其在我国人群中是否适用缺乏高质量研究的支持

目前估计中国人群的正常肺功能多采用包括2012年欧洲呼吸病协会研究在内的,多种矫正后的西方人群肺功能公式且各地区和医院所使用的肺功能预测公式并不一致这些矫正后的肺功能公式是否能够精确的反映我国人群真实的肺功能指数尚不清楚,而不恰当的应用这些公式有可能严重影响我国呼吸系统疾病的诊治以及病情严重程度的评估。因此,建立适合中国人群的肺功能预测公式有着重要的临床应用价值。

李强、王飞龙的这项全国多中心、横断面研究中,研究人员采集了来自我国28个省市自治区的11392名年龄大于20岁且无吸烟史的健康人的肺功能数据,这些肺功能的测试过程均严格按照2005年ATS/ERS的标准,且进一步通过人工智能筛选得到高质量的数据。经过分析后研究人员发现,总体上我国南北方人群肺功能指数并无显著区别,FEV1:95% CI: -0.05-0.01,FVC:95% CI: -0.01-0.05,p均大于0.05,这显示欧洲呼吸病协会推荐的中国人群肺功能预测公式的意见并不准确。而在老年人群中,北方人群的肺功能指数略高于南方人群,经过分析显示可能存在潜在的队列因素。

研究进一步的分析发现,使用GLI-2012 NE equations显著高估了中国南北方人群的肺功能指数,而GLI-2012 SE equations则相对较为适合于整个中国人群。研究者在此大样本数据基础上,采用the Lambda-Mu-Sigma方法建立了新的肺功能预测公式,发现新公式可以更好的拟合中国人群的数据,表现为z指数更小的标准差。

总之,该研究发现欧洲呼吸病协会于2012年推出的多国人群肺功能预测公式中关于中国人群的推荐意见并不完全准确,需要进一步的修正。该研究在此基础上建立了新的适合中国人的肺功能预测公式,有望为我国呼吸系统疾病的诊治提供新的证据。

本研究得到了科技部国家重点研发计划“慢阻肺早期筛查、防治及呼吸健康管理的物联网技术研究与推广”的资助支持,呼吸医学中心主任李强教授为该论文的通讯作者,王飞龙教授为第一作者,呼吸科博士后王琨、博士生孙家兴等参与了本研究工作。(来源: iNature)

文章部分结果展示(图源自European Respiratory Journal )

论文链接

https://erj.ersjournals.com/content/early/2022/07/07/13993003.00490-2022


Copyright  2017 beat·365在线(中国)-唯一官网  All Rights Reserved